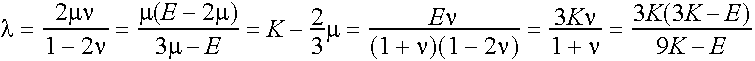
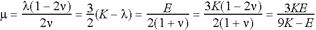
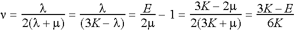
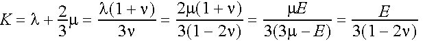
Although only 2 independent elastic constants are required to
completely the properties of an isotropic, elastic medium, there are many different
constants from which to choose. Most of these constants arise as constants of
proportionality between stress and strain for various loading conditions. For example, the
ratio of hydrostatic stress (pressure) to volumetric strain (dilatation) is
, which is given the name bulk modulus and
the symbol
. The constants referred to below are:





To these we may add the following combinations that appear frequently.
